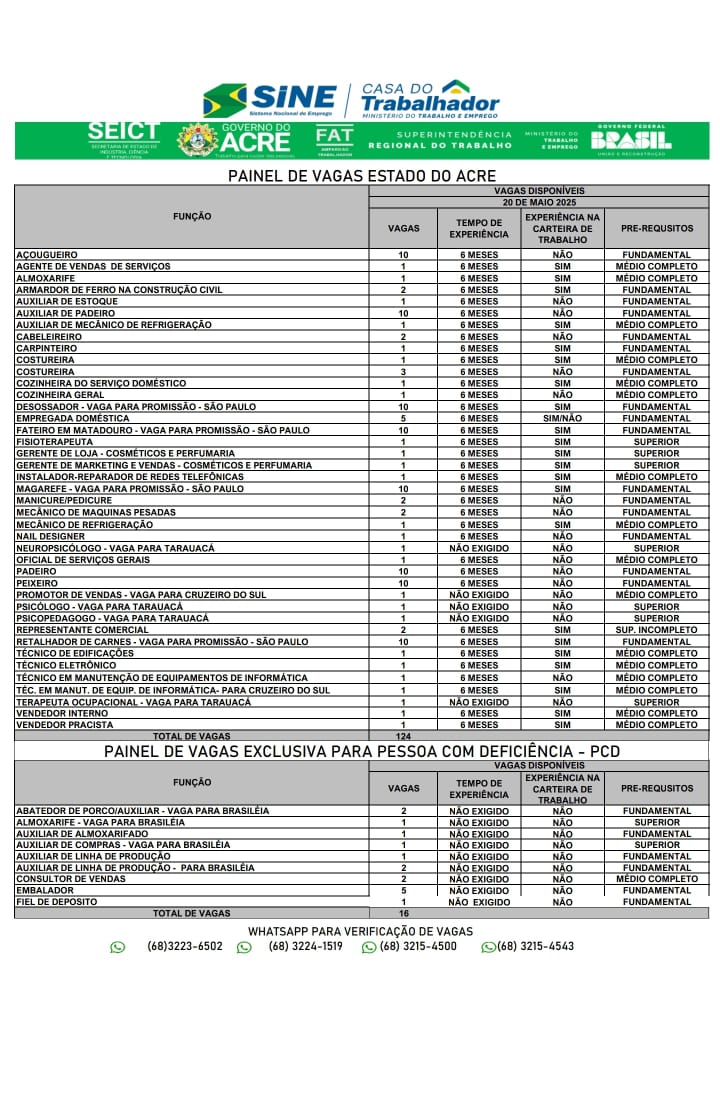
O Sistema Nacional de Emprego do Acre (Sine-AC) oferece 140 vagas de emprego para a população de Rio Branco nesta terça-feira (20). Destas vagas, 16 são destinadas exclusivamente às pessoas com deficiência.
As oportunidades abrangem desde o ensino fundamental até o médio completo e são destinadas a pessoas com ou sem experiência prévia no mercado de trabalho. As inscrições podem ser realizadas por telefone, via WhatsApp, ou presencialmente.
Os candidatos que ainda não possuem cadastro ou que precisam atualizá-lo devem entrar em contato com o Sine para regularizar sua situação. O cadastro pode ser feito via WhatsApp pelos números 3223-6502, 3224-1519 ou 3215-4500.
Para se inscrever, os interessados devem apresentar carteira de trabalho, título de eleitor, identidade, CPF, comprovante de residência e comprovante de escolaridade.
Quem preferir atendimento presencial pode se dirigir ao Sine Acre, localizado na Organização em Centros de Atendimento (OCA), na Rua Quintino Bocaiúva, 299, no Centro de Rio Branco.
É importante lembrar que as vagas são rotativas, podendo não estar disponíveis no dia seguinte. Os cidadãos que perderem o prazo podem consultar a disponibilidade das vagas através dos números de contato mencionados.
Sobre o Sistema Nacional de Emprego
O Sine atua no Brasil desde 1975, oferecendo um serviço público e gratuito de emprego para melhorar a organização do mercado de trabalho. Suas principais ações incluem a intermediação de mão de obra, habilitação do seguro-desemprego e encaminhamento para cursos de qualificação profissional.
Confira as vagas abaixo:



